反式脂肪酸是什么(反式脂肪酸分子式)

2022-09-27 07:59 阅读: 评论:
 

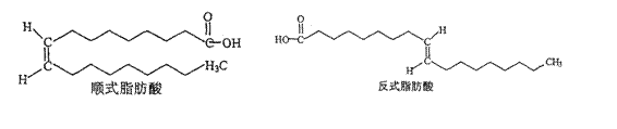
反式脂肪酸 ( TFA) 是含有反式非共轭双键结构不饱和脂肪酸的总称,它与顺式不饱和脂肪酸互为同分异构体,化学式可以表示为:1RHC=CHR2COOH。(不饱和脂肪酸脂肪酸链上至少含有一个碳碳双键),当双键上 2 个碳原子结合的 2 个氢原子在碳链的同侧,空间构象呈弯曲状,则称为顺式(这也是自然界绝大多数不饱和脂肪酸的存在形式),反之,如果与双键上 2 个碳原子结合的 2 个氢原子分别在碳链的两侧,空间构象呈线性,则称为反式。

特别声明:

本文来源于网络,请核实广告和内容真实性,谨慎使用,本站和本人不承担由此产生的一切法律后果!

活血化瘀的食物(吃什么食物能快速活血化瘀通血管) 狼吞虎咽的意思(狼吞虎咽是什么意思?透过这个词语,你感受到 2月21日是什么星座(你是如何知道自己是什么星座的) 微信卸载了怎么恢复聊天记录(微信卸载后重装怎么恢复聊天记录 十大家具品牌(全球家具十大知名品牌排行榜,国外高级家具品牌 ETF是什么意思啊(ETF是什么意思,股指期货和ETF的区别有哪些) 醋酸氟轻松乳膏(婴儿能不能醋酸氟轻松乳膏) 爱他美奶粉怎么样(荷兰爱他美奶粉怎么样) 北约成员国(北约和欧盟各有哪些成员国) 10月12日是什么星座(住宅面宽10米,进深12米,座东向西,怎么设
热门文章
最近发表
友情链接