反比例函数知识点(求反比例曲线的知识点)
2022-09-21 21:31 阅读: 评论:平面直角坐标系
1、定义:
平面上互相垂直且有公共原点的两条数轴构成平面直角坐标系,简称为直角坐标系。
2、各个象限内点的特征:
第一象限:(+,+),点P(x,y),则x>0,y>0;
第二象限:(-,+),点P(x,y),则x<0,y>0;
第三象限:(-,- ),点P(x,y),则x<0,y<0;
第四象限:(+,-), 点P(x,y),则x>0,y<0;
3、坐标轴上点的坐标特征:
x轴上的点,纵坐标为零;
y轴上的点,横坐标为零;
原点的坐标为(0,0)。
两坐标轴的点不属于任何象限。
4、点的对称特征:
已知点P(m, n),
关于x轴的对称点坐标是(m,-n),横坐标相同,纵坐标相反;
关于y轴的对称点坐标是(-m, n),纵坐标相同,横坐标相反;
关于原点的对称点坐标是(-m, -n),横、纵坐标都相反。
5、平行于坐标轴的直线上的点的坐标特征:
平行于x轴的直线上的任意两点:纵坐标相等;
平行于y轴的直线上的任意两点:横坐标相等。
6、各象限角平分线上的点的坐标特征:
第一、三象限角平分线上的点横、纵坐标相等。
第二、四象限角平分线上的点横、纵坐标互为相反数。
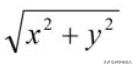
7、点P(x,y)的几何意义:
点P(x,y)到 x 轴的距离为 |y| ,
点P(x,y)到 y 轴的距离为 |x|。
点P(x,y)到坐标原点的距离为
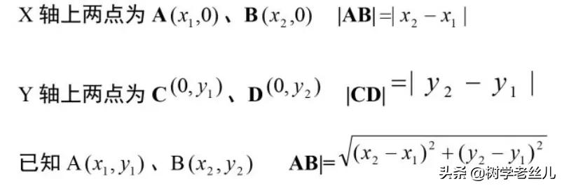
8、两点之间的距离:
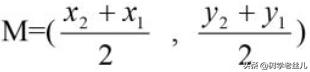
9、中点坐标公式:
已知A( x, y )、B( x, y ),
M为AB的中点,则:
10、点的平移特征:
在平面直角坐标系中,
将点(x,y)向右平移 a 个单位长度,可以得到对应点( x+a,y);
将点(x,y)向左平移 a 个单位长度,可以得到对应点(x-a,y);
将点(x,y)向上平移 b 个单位长度,可以得到对应点(x,y+b);
将点(x,y)向下平移 b 个单位长度,可以得到对应点(x,y-b)。
注意:对一个图形进行平移,这个图形上所有点的坐标都要发生相应的变化;反过来,从图形上点的坐标的加减变化,我们也可以看出对这个图形进行了怎样的平移。
反比例函数图像与性质
1. 定义:一般地,形如 y=k/x (k为常数,k≠0)的函数称为反比例函数。y=k/x 还可以写出 y=kx。
2. 解析式:y=k/x ( k为常数 )
注:反比例函数解析式的特征:
① 等号左边是函数y,等号右边是一个分式。分子是不为零的常数k(也叫做比例系数k),分母中含有自变量 x,且指数为1。
② 比例系数k不等于0。
③ 自变量 x 的取值为一切非零实数。(反比例函数有意义的条件:分母≠0)。
④ 函数 y 的取值是一切非零实数。
3、增减性(单调性):
k>0,y随x的增大而减小(单调减);k<0,y随x增大而增大(单调增)。
4、反比例函数的图象:双曲线
(1)图像的画法:描点法
① 列表(应以o为中心,沿o的两边分别取三对或以上互为相反的数)
② 描点(有小到大的顺序)
③ 连线(从左到右光滑的曲线)
(2)对称性:
① 是中心对称图形,对称中心是原点
② 是轴对称图形,对称轴是直线 y=x 和 y=-x
(3)反比例函数 y=k/x (k为常数,k≠0)中自变量 x 不等于0,函数值 y 不等于0,所以双曲线是不经过原点,断开的两个分支(称为左、右支),延伸部分逐渐靠近坐标轴,但是永远不与坐标轴相交。
(4)比例系数 k 的几何含义:
反比例函数 y=k/x (k≠0) 中比例系数的几何意义,即过双曲线 y=k/x(k≠0)上任意一点 P, 作x轴、y轴垂线。设交点分别为A、B,则所得矩形OAPB的面积(阴影面积)为 |k| . (由 y=k/x 变形可得:k=xy. 因为面积为正数,所以 k 取绝对值。)
5. 反比例函数性质如下表:
特别声明:
本文来源于网络,请核实广告和内容真实性,谨慎使用,本站和本人不承担由此产生的一切法律后果!

